
2026年3月17日
从数学上考虑,主要是如下几点
1. 模数N的两个素因子p、q之间的距离(差的绝对值)要够大。这是为了防费马因子分解法,详见《
浅淡密码学几点安全性分析》第一点
2. p-1 和q-1 要有大的素因子,即它们的素因子分解中最小的素数都得够大。这是为了防Pollard p-1 因子分解法、重复加密攻击
4. N的选取应考虑它难以找到二次剩余即x2≡y2 mod N。这是为了防Dixon分解法、二次筛法
从工程上考虑,有以下几点
5. RSA系统生成N不要重复。这是为了防共模攻击恢复明文
6. 不同的N用不同的加密指数e,或不要加密相同的消息,或被加密的多个消息避免有仿射线性关系
7. 避免暴露N的欧拉函数值。不然解一元二次方程可得到p、q
8. 随机填充。给明文按一定规则填充随机串后加密,一定程度上可抗击选择明文与选择密文攻击
进一步提升安全性的考虑
密钥生成KeyGen(κ):
(N, e, d) ← GenRSA(κ);
pk = (N, e), sk = (N, d)
加密过程Epk (M)、解密过程Dsk (C1, C2):
与抗攻击的安全性有关
H:抗碰撞哈希函数
为抗选择明文攻击,利用H来改造
Epk(M):
r ←R ZN*
输出(re mod N,H(r)⊕M)
Dsk (C1, C2):
r = C1d mod N
输出H(r)⊕C2
为抗选择密文攻击(攻击利用RSA的乘法同态性),利用H与IND-CCA安全的私钥加密方案<PrivGen, Enc, Dec>来改造:
Epk (M):
r ←R ZN*
h = H(r)
输出(re mod N,Ench (M))
Dsk (C1, C2):
r = C1d mod N
h = H(r)
输出Dech(C2)
以上改造后的两种RSA方案,是可证明安全的。但第一种不支持IND-CCA
posted @
2026-03-17 23:03 春秋十二月 阅读(36) |
评论 (0) |
编辑 收藏

2026年3月4日
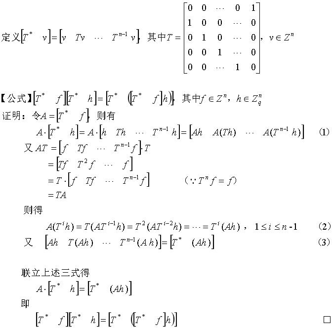
先摘自文献[1]中Lattice-based Cryptography章节引用的结论


再对上文三个结论稍作证明如下
参考文献
[1] Post-Quantum Cryptography
[2] 算法数论 裴定一 祝跃飞
[3] 高等代数 丘维声
posted @
2026-03-04 16:41 春秋十二月 阅读(158) |
评论 (0) |
编辑 收藏

2026年1月25日
符号定义

主要结论


在密码学中的应用

上述McEliece公钥算法成立的关键之一是
Gpub=
SGP。由前面的
定理1可得出G
pub与G等价,
但隐藏了码结构,另由于矩阵分解G
pub得到S和P是困难的,因为P随机且LU分解变形不唯一,
当n和t较大时,Goppa码的生成矩阵是天文数字。从而增加了密码分析的难度
上述红色下划线处的结论,其根据是
推论1

这里的线性码下界定义本质跟
定理7一样,从校验矩阵H的所有列向量中,选取0个向量(即向量
0)生成的线性组合数 +
选取1个线性无关向量生成的线性组合数 + 选取2个无关向量生成的线性组合数 + … +
选取d
0-1个无关向量生成的线性组合数,不超过r个无关向量生成的线性组合总数。下面解释了红色下划线处的结论
参考文献
[1] 高等代数 丘维声
[2] Finite fields Rudolf Lidl Harald Niederreiter
[3] Post-Quantum Cryptography
posted @
2026-01-25 20:30 春秋十二月 阅读(143) |
评论 (0) |
编辑 收藏

2025年9月28日
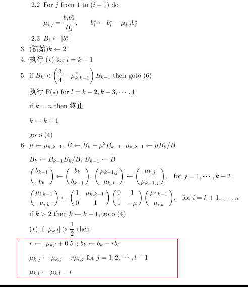
先摘录文献[1]中的LLL算法描述流程,及LLL约化基的定义
LLL约化基的定义如下(文献[1]定义13.12)
再证明上图红色方框三行伪代码的正确性(其它部分文献[1]已讲得比较具体)
参考文献
[1] 算法数论 裴定一 祝跃飞
[2] 高等代数 丘维声
posted @
2025-09-28 17:43 春秋十二月 阅读(389) |
评论 (0) |
编辑 收藏

2025年6月5日
符号含义

关于特征的结论



关于指数和的结论
参考文献
[1] 代数学基础与有限域 林东岱
[2] 代数与数论 李超 周悦
[3] 关于群的一些结论及应用 本人
posted @
2025-06-05 09:30 春秋十二月 阅读(277) |
评论 (0) |
编辑 收藏

2025年4月25日
本文主要阐述用两种方法判断给定两个二元二次型是否相似,相似情况下的具体变换。
相似变换如果确定了,也利于判断正定性,因为相似二次型的正定性相同。最后讲到了正交分解,
给出怎么求相似的整数对角矩阵
基本定义
下述定义来自文献[1] 12.1节,有所扩展
变换求解
先来看运用解方程的方法
再来看用矩阵的观点方法,求解变换。这种方法更适合求解到对角型的变换
正交分解


参考文献
[1] 华罗庚文集数论卷2
[2] 高等代数 丘维声
posted @
2025-04-25 19:05 春秋十二月 阅读(413) |
评论 (0) |
编辑 收藏

2025年4月22日
【命题1】 所有群同态的原像个数相同,即为核的大小
下面看下这个结论在文献[1]中3.2节的应用
【命题2】所有元素阶小于等于2 的群为交换群,且其阶为2的整数幂
该结论在
https://zhuanlan.zhihu.com/p/644888274中的推论2.2证明中用到
【命题3】群中任一元的相对于正规子群的指数次幂属于正规子群,2阶正规子群必
属于群的中心
【定理1】模奇合数的既约乘法群,其中雅可比符号为1的元素构成它的子群,其阶为
既约乘法群群阶的一半
【定理2】设G是群,H、K是有限子群,则HK的大小等于H的阶与K的阶乘积除以H与K交群的阶
参考文献
[1] 椭圆曲线及其在密码学中的应用—导引 Andreas Enge
[2] 抽象代数I 赵春来 徐明曜
[3] 华罗庚文集数论卷2
[4] 组合数学 冯荣权 宋春伟
posted @
2025-04-22 21:18 春秋十二月 阅读(409) |
评论 (0) |
编辑 收藏